3. Математический маятник.
|
Его образует материальная точка массой т,
подвешенная в поле тяжести к определенной
точке на невесомой и нерастяжимой нити длиной L.
направлена в сторону положения равновесия
(положение равновесия устойчивое).
|
|
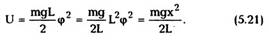
Найдем потенциальную энергию материальной
точки в отклоненном положении, полагая U=0 в
положении равновесия. Тогда

|
|
На рис. 5.2 ось OZ направлена к нам. Центр
тяжести тела находится в точке О на расстоянии а
от оси вращения OZ. Тело вращается вокруг
закрепленной оси, поэтому для него нужно писать
уравнение (3.9) из лекции 3:
25

Сравнив эти выражения с формулами (5.22),
относящимися к математическому маятнику, мы
видим, что свойства движения физического
маятника совпадают со свойствами движения
математического маятника с длиной
![]()

Из этого выражения можно сделать следующее
интересное заключение. Отложим на прямой ZO
(Рис. 5.2) отрезок ZO' = L > а. Представим себе
теперь, что маятник подвешивается за
горизонтальную ось, проходящую через точку О'.
Приведенная длина полученного таким образом
нового маятника будет равна (см. (5.30))
|
|
Ее называют приведенной длиной
физического маятника.
На основании теоремы Штейнера (см. (3.10) из
лекции 3)

приведенные длины, а поэтому и периоды
колебаний маятников, подвешенных на осях,
находящихся на расстоянии L друг от друга,
одинаковы.
26
Лекция 6. ЗАТУХАЮЩИЕ И ВЫНУЖДЕННЫЕ КОЛЕБАНИЯ
Затухающие колебания; вынужденные колебания.
|
|
|
|
1. Затухающие колебания.
До сих пор мы рассматривали колебательное
движение тела так, как если бы оно происходило
совершенно беспрепятственно. Однако, если
движение происходит в какой либо среде, то эта
среда оказывает сопротивление движению,
стремящееся замедлить его. Взаимодействие тела
со средой представляет собой сложный процесс,
приводящий, в конце концов, к переходу энергии
движущегося тела в тепло,— как говорят в
физике, к рассеянию или диссипации энергии. Этот процесс не является уже чисто
механическим и его детальное изучение требует
привлечения также и других разделов физики. С
чисто механической точки зрения он может быть
описан путем введения дополнительной (кроме
возвращающей) силы, появляющейся в результате
движения и направленной противоположно ему.
Эту силу называют силой трения. При достаточно
малых скоростях движения она пропорциональна
скорости тела, и ее проекция на ось х
![]()
где г — некоторая положительная постоянная,
характеризующая взаимодействие тела со средой,
а знак минус указывает, что сила направлена в
сторону, обратную скорости.
Выясним сначала, как влияет наличие такого
трения на колебательное движение. Будем считать
при этом, что сила трения настолько мала, что
вызываемая ею потеря энергии тела (за время
одного периода колебаний) относительно мала.
|
|
|
|
|
|
Потеря полной энергии тела Е определяется
как работа, произведенная силой трения. За время
dt эта работа, а с ней и потеря энергии dE, равна
произведению силы fTpx на смещение тела
где С = In Ео и Ео — значение энергии в
начальный момент времени (t = 0), находим
окончательно
![]()
|
|
Таким образом, энергия колебаний убывает
из— за трения по экспоненциальному закону.
Вместе с энергией убывает также и амплитуда
колебаний А. Поскольку энергия пропорциональна
квадрату амплитуды, то
амплитуда уменьшается в е раз; это время
называют временем жизни колебаний. Сделанное
нами выше предположение о малости силы трения

|
Видно, что |
|
натуральный логарифм отношения амплитуды
колебаний в момент t к амплитуде колебаний,
взятой через период колебаний, то есть
Затухающие колебания характеризуются еще
одной величиной, которая называется
добротностью Q. Добротностью называют
![]()
27
|
|
|
|
Добротность Q>>1 в силу нашего
предположения о малости затухания.
Трение влияет также и на частоту (и период)
колебаний. Замедляя движение, оно увеличивает
период, то есть уменьшает частоту колебаний.
|
|
|
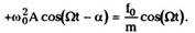
Запишем теперь второй закон Ньютона для
Деля это уравнение на m и перенося все члены
уравнения в левую часть, получим
![]()
2. Вынужденные колебания.
Во всякой реальной колебательной системе
всегда происходят те или иные процессы трения.
Поэтому свободные колебания, возникающие в
системе под влиянием начального толчка, с
течением времени затухают.
Для того, чтобы возбудить в системе
незатухающие колебания, необходимо
компенсировать потери энергии, обусловленные
трением. Такая компенсация может производиться
внешними (по отношению к колебательной
системе) источниками энергии. Простейшим
случаем является воздействие на систему
переменной внешней силы fBH, изменяющейся со
временем по гармоническому закону
![]()
в системе возникнут колебания, происходящие в
такт с изменением силы. Эти колебания
называются вынужденными. Движение системы
будет представлять собой, вообще говоря,
наложение обоих колебаний — собственных
![]()
система будет совершать лишь вынужденные
колебания.
Найдем уравнение вынужденных колебаний.
Для этого в уравнение (6.9) (второй закон
Ньютона) добавим вынуждающую силу (6.14):

— частота незатухающих колебаний. Полученное
уравнение называется уравнением затухающих колебаний. Оно переходит в уравнение
![]()
Деля (6.15) на m и вводя прежние обозначения,
получим
|
![]()
|
|
|
Будем искать решение этого уравнения,
используя выражение (6.5) для амплитуды
колебаний, в виде
полученные выражения в (6.10), находим после
несложных преобразований, что выражение (6.11)
удовлетворяет уравнению затухающих колебаний,
если
![]()
|
Это и есть уравнение вынужденных
колебаний. Поскольку вынужденные колебания
происходят с частотой Q, будем искать решение
уравнения (6.16) в виде
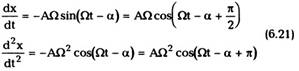
Для их нахождения воспользуемся методом,
который называется методом векторных диаграмм, удобным при сложении нескольких
|
|
то есть частота и период затухающих колебаний
![]()
В том случае, когда Р > со0 (то есть движение
при достаточно большом трении), затухание
движения будет происходить монотонно без
колебаний. Такой процесс называется
апериодическим.

(на некотором вспомогательном чертеже —
векторной диаграмме) как проекцию на
горизонтальную ось ОХ радиуса — вектора,
28
![]()
течением времени вращается против часовой
стрелки вокруг точки О с угловой скоростью со.
|
|
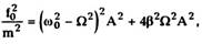
Пусть теперь имеются два колебания,
происходящие в одном направлении
Для нахождения Аи ф строим на векторной
диаграмме два радиус-вектора длинами А, и А2
(Рис.6.2) и находим их сумму по правилу сложения

векторов. Амплитудой А будет длина этого
суммарного вектора, а фазой <р — угол между
суммарным радиус-вектором и осью х. По
теореме косинусов
и изобразим его на векторной диаграмме (см.
рис. 6.3).

Из рисунка видно, что
![]()
и
![]()
откуда
![]()
Мы видим, что амплитуда вынужденных
колебаний А пропорциональна амплитуде
вынуждающей силы f0 и существенно зависит от
|
|
|
|
|
|
|
|
|
|
|
Подставляя (6.21) в (6.16), получим:
Перепишем это равенство в момент времени
![]()
|
|
29
Явление резкого возрастания амплитуд *j
вынужденных колебаний при приближении
При слабом затухании амплитуда колебаний
|
|
|
|
|
|
30
Лекция 7. ВОЛНЫ
Плоская монохроматическая волна; волновое уравнение; волновой пакет;
дисперсия.
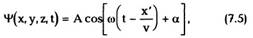
1. Плоская монохроматическая волна
Когда мы говорим о волнах, то представляем
себе прежде всего волны на поверхности воды,
или волны, бегущие в упругом шнуре при
периодическом сотрясении его конца. Какова бы,
однако, ни была природа волн, распространение
их следует одинаковым законам.
Волны бывают поперечные и продольные. В
поперечной волне частицы среды, в которой
распространяется волна, колеблются в
направлении, перпендикулярном направлению
распространения волны (волны на поверхности
воды, или волны, бегущие в упругом шнуре). В
продольной же волне направление колебаний
совпадает с направлением распространения волны
(звуковые волны в газе).
|
|
Рассмотрим простейший вид волн — плоские
монохроматические или гармонические волны -
и выберем направление распространения волн за
ось ОХ системы координат. Такие волны
представляются формулой
отклонение частицы от положения равновесия в
упругой волне, какая-нибудь составляющая
напряженности электрического или магнитного
поля в электромагнитной волне и т. д. Постоянная

Поверхность, во всех точках которой фаза
имеет одно и то же значение называется
волновой поверхностью. Очевидно, что в
рассматриваемом случае, когда фаза линейно
зависит от координаты х, такой поверхностью в
фиксированный момент времени t = t0 будет
плоскость х = const, нормаль к которой совпадает
с направлением распространения волны (осью
ОХ). Поэтому и говорят, что выражение (7.1)
описывает плоскую волну.
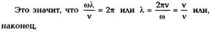
Постоянная v, входящая в фазу, имеет
следующий смысл. Выберем какое-то
определенное значение фазы, и посмотрим, при
каких условиях оно будет сохранять одну и ту же
величину при изменении х и t. Очевидно, что для
постоянства фазы необходимо и достаточно,
![]()
Отсюда видно, что v есть скорость
перемещения плоскости равной фазы (волновой
поверхности), или фазовая скорость волны.
|
|
|
|
|
Так как t и х входят в аргумент периодической
функции, то волна должна обнаруживать
периодичность как во времени, так и в
пространстве. Вследствие периодичности во
времени должен существовать постоянный
промежуток времени Т (период колебаний), удовлетворяющий условию
соотношение, связывающее фазовую скорость v с
длиной волны к и периодом колебаний Т.
|
|
Пусть теперь плоская волна распространяется
в произвольном направлении, образующем с
где
![]()
Уравнение волновой поверхности в этом
случае будет
|
|
31
Введем теперь вектор к, по направлению
совпадающий с положительной нормалью к
волновой поверхности, а по абсолютной величине
равный
![]()

так называемый оператор Лапласа. Тогда волновое
уравнение можно записать в более компактной
форме:
|
Компоненты этого вектора, который мы будем
называть волновым вектором, таковы
|
|
В таком случае |
где г — радиус-вектор, проведенный из начала
координат в произвольную точку волновой
поверхности. При помощи (7.9) формула плоской
волны приводится к следующему компактному
виду:
![]()
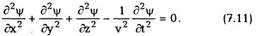
2. Волновое уравнение
Рассмотренная в предыдущем разделе формула
плоской волны является частным решением
некоторого дифференциального уравнения,
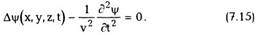
называемого волновым уравнением.
Легко убедиться в том, что формула плоской
волны (7.10) удовлетворяет уравнению
![]()
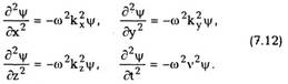
Действительно, дифференцируя (7.10) дважды
по координатам и по времени, находим

Подставляя (7.12) в (7.11), получаем после
сокращений
Это уравнение называется еще уравнением
Д'Аламбера.
Волновое уравнение является линейным
однородным дифференциальным уравнением в
частных производных. Как всякое однородное
линейное уравнение оно обладает следующим
![]()
является его решением. В этом заключается
математическое обоснование известного
принципа суперпозиции волновых движений,
который позволяет при помощи наложения
плоских волн строить любые волновые поля.
3. Волновой пакет
Рассмотренные в предыдущем разделе плоские
волны в природе никогда не осуществляются. В
самом деле, по условию, эти волны представляют
строго периодический процесс, а для этого они
должны иметь бесконечное протяжение в
пространстве и во времени. Реальные же волны
всегда ограничены в пространстве и испускаются
в течение ограниченных промежутков времени, а
потому и не являются строго гармоническими.
Поэтому мы можем их рассматривать как
результат суперпозиции строго гармонических
плоских волн, которые в одной части
пространства усиливают друг друга, а в остальном
пространстве друг друга погашают (это явление
называется интерференцией волн). Такие
сложные волны имеют некоторые важные
особенности, которые мы выясним на примере
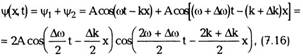
суперпозиции двух плоских гармонических волн.
Положим, что обе эти волны с одинаковой
амплитудой А распространяются вдоль оси ОХ и
![]()
|
|
|
|
![]()
|
Из за большого объема этот материал размещен на нескольких страницах:
1 2 3 4 5 |






















